Sâm Ngọc Linh là loài sâm đặc hữu của Việt Nam, phát hiện lần đầu năm 1973 bởi dược sĩ Đào Kim Long và được mô tả chính thức là loài mới năm 1985. Trải qua hơn 50 năm nghiên cứu, nhiều công trình khoa học trong và ngoài nước đã chứng minh giá trị sinh học, hóa học và dược lý vượt trội của Sâm Ngọc Linh, vì lẽ đó Sâm Ngọc Linh được coi là “quốc bảo” của Việt Nam. Hãy cùng Vinnate tìm hiểu về các tác dụng của Sâm Ngọc Linh thông qua bài viết này nhé.
Quý khách có nhu cầu tìm hiểu thêm thông tin về sâm Ngọc Linh tại Ngọc Linh xin vui lòng liên hệ qua Fanpage hoặc Zalo của công ty tại địa chỉ:
Thành phần nổi bật của sâm Ngọc Linh là các saponin – với khoảng 52 loại saponin đã được xác định, nhiều hơn hẳn so với các loài sâm khác. Nổi bật trong đó là saponin dạng ocotillol như majonoside R2 (MR2), chiếm tỉ lệ lớn (khoảng 5,3% khối lượng khô) và nhiều saponin đặc hữu chỉ chỉ có ở Sâm Ngọc Linh.
Sâm Ngọc Linh chứa hàm lượng Saponin cao nhất trong các loại sâm trên thế giới, đặc biệt là các Saponin có cấu trúc Ocotillol, mang lại nhiều công dụng quý giá cho sức khỏe. Kết quả nghiên cứu về Sâm Ngọc Linh năm 2003 Tiến sỹ Trần Công Luận đã giới thiệu và công bố có 52 hợp chất saponin. Không dừng lại ở đó, mới đây các nhà khoa học đã nghiên cứu trong sâm Ngọc Linh có 86 hợp chất saponin đặc biệt là hợp chất MR2 rất cao mà không có loại sâm nào so sánh được.
Chính vì vậy mà Sâm Ngọc Linh mang lại rất nhiều lợi ích cho sức khỏe như: Tăng cường sức đề kháng, bồi bổ cơ thể, giảm căng thẳng, mệt mỏi, bảo vệ gan thận, hỗ trợ điều trị các bệnh tim mạch, ung thư,...
1 - Hồi phục và tăng lực
Tăng lực và Chống mệt mỏi: Sâm Ngọc Linh được sử dụng với tác dụng tăng lực và chống nhược sức. Cao chiết từ Sâm Việt Nam trồng (6 năm tuổi) kéo dài đáng kể thời gian bơi của chuột trong các thử nghiệm tăng lực. Tác dụng tăng lực - phục hồi sức này được thể hiện trong nghiệm pháp chuột bơi kiệt sức của Brekhman. Chống Stress: Sâm Ngọc Linh có tác dụng chống stress, bao gồm cả stress vật lý (như stress chiếu xạ, stress nhiệt độ) và stress tâm lý (lo âu, trầm cảm). Cơ chế chống stress được xác định sơ bộ là thông qua việc tăng sinh tổng hợp corticoid của tuyến thượng thận
2 - Tác Dụng Trên Hệ Thần Kinh Trung Ương (TW) và Tâm Lý
Các tác dụng của Sâm Ngọc Linh trên hệ thần kinh chủ yếu đến từ tác dụng “sinh thích nghi” (adaptogen) của các cây thuộc họ Araliaceae. Hiện nay nghiên cứu Sâm Ngọc Linh chủ yếu trên các bệnh lý thần kinh phổ biến như: suy giảm trí nhớ, lo âu, trầm cảm. Các saponin như MR1, MR2, VR2 có trong Sâm Ngọc Linh giúp giảm hành vi trầm cảm, giảm stress oxy hóa (giảm MDA, tăng GSH) và cải thiện chức năng não. Chiết xuất Sâm Ngọc Linh giúp tăng hoạt động vận động, giảm lo âu mà không gây an thần, điều này chứng minh tác dụng điều hòa thần kinh an toàn và hiệu quả của Sâm Ngọc Linh.
3 - Hệ tim mạch
Các nghiên cứu trên mô hình động vật cho thấy sâm và thành phần của chúng có tác dụng giãn mạch, hạ huyết áp, cải thiện rối loạn chức năng nội mô mạch máu ở bệnh nhân tăng huyết áp thông qua tăng phát hành oxid nitric (NO) nội mô và liên quan đến các kênh Ca+, K+ trong mạch máu tế bào cơ trơn, hệ thống chống oxy hóa, các yếu tố tăng trưởng mạch (Lei et al., 2015; Li et al.,2001; Scott et al., 2001; Sung et al.,2000). Theo nghiên cứu Nguyễn Thị Thu Hương (2003), Sâm Ngọc Linh có tác động phòng chống xơ vữa động mạch ở liều 50-500 mg/kg theo cơ chế hạ cholesterol, hạ lipid toàn phần và lipoprotein, tăng hàm lượng HDL có lợi (lipoprotein có nhiệm vụ vận chuyển cholesterol vào nội bào) hoặc tác dụng điều hòa hoạt động tim mạch và tăng huyết áp trong trường hợp mất máu
4 - Tác dụng kháng ung thư và kích thích miễn dịch
Những nghiên cứu đầu tiên từ năm 1998-1999 trong và ngoài nước về tác dụng kháng ung thư của Sâm Ngọc Linh- Saponin trong Sâm Ngọc Linh có khả năng kháng ung thư thông qua nhiều cơ chế, đặc biệt là kích hoạt apoptosis (chết tế bào ung thư theo chương trình).
- Majonosid-R2 và các saponin khác đã được chứng minh có khả năng ức chế hình thành khối u, chống tăng sinh tế bào ung thư, quét gốc tự do, tăng thực bào và điều hòa miễn dịch trên cả mô hình in vitro và in vivo.
- Hiệu quả kháng ung thư phụ thuộc chặt chẽ vào cấu trúc hóa học saponin (số lượng/gắn vị trí đường, nhóm hydroxyl, lập thể 20(S)/20(R)), trong đó các dạng ít đường hoặc chuyển hóa (Rg3, Rh2, PPD, PPT…) có hoạt tính mạnh nhất; một số nghiên cứu cũng cho thấy xử lý nhiệt làm tăng hoạt tính kháng ung thư nhờ biến đổi saponin.
5 - Tác dụng bảo vệ gan và thận
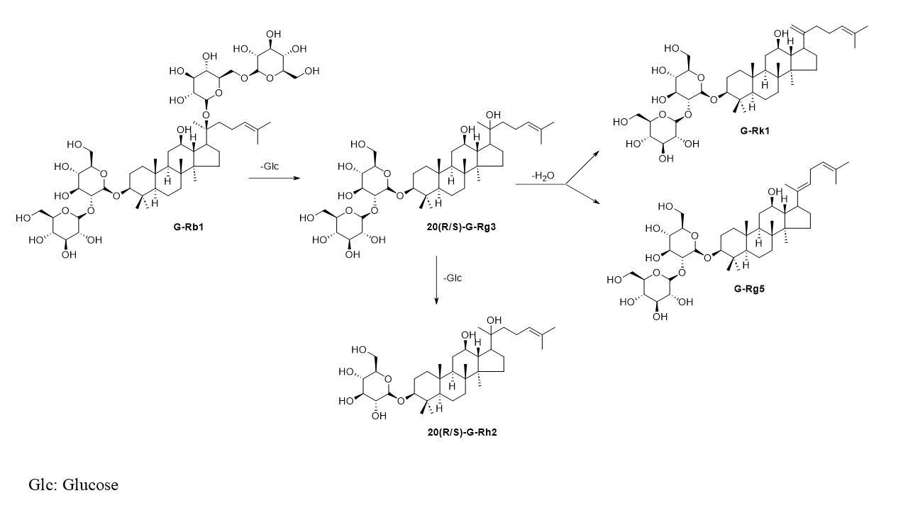
Hạ men gan cao và tái tạo tế bào gan: Cao chiết toàn phần, cao saponin toàn phần của Sâm Ngọc Linh và M-R2 có tác dụng bảo vệ tế bào gan trên thực nghiệm gây tổn thương gan cấp bằng carbon tetraclorid, làm giảm nồng độ của ALT trong huyết tương và giảm mạnh nồng độ của AST và GST huyết tương. Cao chiết Sâm Ngọc Linh hỗ trợ tái tạo tế bào gan, duy trì chức năng sinh lý của gan và kích thích hoạt động của hệ thống cytochrome-P45057,58 Tác dụng bảo vệ thận: Sâm Ngọc Linh với 7 hợp chất bao gồm 20(R,S)-ginsenosid Rh2, 20(R,S)-ginsenosid Rg3, ginsenosid Rk1, ginsenosid-Rg5 và ocotillol genin khi chế biến ở điều kiện tối ưu hóa (120°C, 12 giờ) có khả năng làm giảm đáng kể tác động gây độc thận của cisplatin trên mô hình tế bào thận LLC- PK1 có nguồn gốc từ lợn. Ngoài ra, trên mô hình chuột gây tổn thương thận bằng cisplatin, đã cho thấy tác dụng bảo vệ thận của panaxynol được phân lập từ Sâm Ngọc Linh lần đầu tiên đã được chứng minh (Lee et al., 2019) thông qua việc cải thiện tình trạng sụt cân của chuột, một số thông số chức năng thận và giảm biểu hiện mRNA của các chất trung gian gây viêm. Quá trình biến đổi của ginsenoside-Rb1 thành các saponin kém phân cực dưới tác dụng của nhiệt độ cao.
5 - Tác dụng chống oxy hóa
Stress oxy hóa là căn nguyên của một số loại bệnh như thoái hóa thần kinh, bệnh tim mạch, tiểu đường, ung thư và hội chứng mệt mỏi mãn tính. Cải thiện stress oxy hóa từ các chất chống oxy hóa là một chiến lược quan trọng mang lại hiệu quả điều trị các bệnh khác nhau Saponin Sâm Ngọc Linh ở liều 15 – 25 mg/kg và majonosid-R2 làm giảm điển hình sự gia tăng hàm lượng TBA-RS – sản phẩm của quá trình oxy hóa lipid trong não gây bởi stress và đưa trở về mức bình thường và không ảnh hưởng đến hàm lượng TBA-RS ở chuột bình thường (Nguyễn Thị Thu Hương, 2003; Trần Mỹ Tiên và Nguyễn Thị Thu Hương, 2005; Huong et al., 2005).
6 - Tác dụng kháng viêm
Một số mô hình trên chuột cho thấy tác dụng vượt trội của Sâm Ngọc Linh trên khả năng kháng viêm mạn tính (ở liều liều 180 mg/kg sau 7 ngày sử dụng); hay bột chiết Sâm Việt Nam ở liều 90 mg/kg thể hiện tác dụng giảm đau tương đương với natri salicylate ở liều 300 mg/kg. Một nghiên cứu khác cũng cho thấy khả năng giảm đau tăng theo liều sử dụng, trong đó bột chiết Sâm Ngọc Linh ở liều 180 mg/kg thể hiện tác dụng mạnh hơn natri salicylate
Tài liệu tham khảo:
- NGHIÊN CỨU HOẠT TÍNH CHỐNG OXY HÓA IN VITRO CỦA SAPONIN TOÀN PHẦN TỪ SÂM VIỆT NAM TRỒNG (PANAXVIETNAMENSIS HA ET GRUSHV.) (2023)
- THÀNH PHẦN HÓA HỌC, TÁC DỤNG SINH HỌC CỦA SÂM VIỆT NAM (Panax vietnamensis) VÀ XU HƯỚNG PHÁT TRIỂN CÁC DÒNG SẢN PHẨM MỚI (2022)
- NGHIÊN CỨU THÀNH PHẦN HÓA HỌC SÂM VIỆT NAM (Panax vietnamensis, Araliaceae) THEO HƯỚNG TÁC ĐỘNG BẢO VỆ THẬN (2023)
- The psychopharmacological activities of Vietnamese ginseng in mice: characterization of its psychomotor, sedative–hypnotic, antistress, anxiolytic, and cognitive effects (2017)
- TÁC DỤNG DƯỢC LÝ ĐIỂN HÌNH CỦA SÂM NGỌC LINH (PANAX VIETNAMENSIS HA & GRUSHV.) (2023)
- Increase in Protective Effect of Panax vietnamensis by Heat Processing on Cisplatin-Induced Kidney Cell Toxicity Molecules 24(24): 4627.
- A. H., Sun, S. & Yuan, C. S., 2009. The mitochondrial pathway is involved in American ginseng-induced apoptosis of SW-480 colon cancer cells. Oncol Rep 21(3): 577-584.
- American ginseng: potential structure-function relationship in cancer chemoprevention. Biochem Pharmacol 80(7): 947-954.
- Ginsenosides Rb1 and Re decrease cardiac contraction in adult rat ventricular myocytes: role of nitric oxide. Br J Pharmacol 134(6): 1159-1165.
- Vietnamese ginseng (Panax vietnamensis Ha and Grushv.): Phylogenetic, Phytochemical, and Pharmacological Profiles. Phcog Rev. 13(26): 59-62.
Quý khách có nhu cầu tìm hiểu thêm thông tin về sâm Ngọc Linh tại Ngọc Linh xin vui lòng liên hệ qua Fanpage hoặc Zalo của công ty tại địa chỉ:
Facebook: https://www.facebook.com/NgocLinhVinnate/
Zalo: 0965.595.698.
🇻🇳VINNATE - BRING NATURE INTO YOUR HOME.
⛰️Phát triển những sản phẩm thuần Việt, dựa trên giá trị nền tảng của các loài thảo mộc và nông sản Việt, dưới sự sáng tạo của trí tuệ nghệ nhân Việt, giữ gìn bản sắc văn hoá Việt.
🏠Địa chỉ: Xã Ngọc Linh - Huyện Đắk Glei - Tỉnh Kon Tum.
🏭Địa chỉ sản xuất: Xã Đắk Kroong - Huyện Đắk Glei - TỈnh Kon Tum.
📲Hotline tư vấn/Zalo: 0965595698
